How to Play PROPO - Standard Systems - opap.gr
- How to play PROPO
- More about PROPO
- Standard Systems
- Prize Tiers
- Cost Calculator
- Legal Framework
How to play PROPO
More about Propo
Game Οbjective
PROPO is a predictive game of chance. Its goal is to accurately predict the result of 7 or 14 football matches (depending on the game type).
A match result is considered as: Victory of 1st team (symbol 1) or 2nd team (symbol 2) or tie (symbol X). It is played with single columns or systems.
Slip
Front View

Back View

Single Column
Select 1 symbol (1, 2 or X) for each of the 14 or 7 matches. The cost is 0,25€.

Full development system
Select more than 1 symbol (1, 2 or X) for any of the 14 or 7 matches.

Variable standard systems
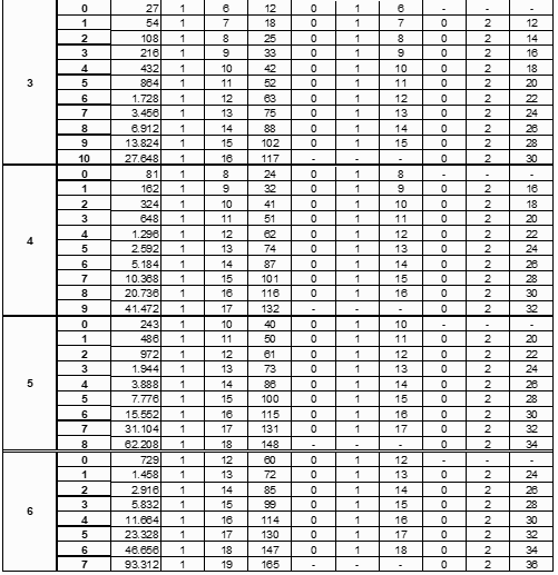
There are 120 Variable Standard Systems (played in slip area 5) which offer the ability to participate in the game with fewer columns & lower cost, compared to those needed for the full system.
The success rate, upon correct predictions, is less than 100% (as in full systems), depending on the system you have selected.
More information regarding development, winning tables and success rates for Standard Systems, can be found either in the game's brochure, which is available in any OPAP store or by downloading the Autonomous Sorting Program, available for free on our website.
Definitions
Variable Systems: Systems that, upon correct predictions, may ensure success in the 2nd prize tier (13 correct predictions) and chances of success in the 1st prize tier (14 correct predictions).
Amplified Variable Systems: Systems that, due to amplification of their development, may ensure more than one prize in the 2nd prize tier and increased chances of success in the 1st prize. The standardized systems may yield a success rate of 11,1% up to 33,3% in the 1st prize tier.
Limited Systems: The most cost saving systems, characterized by a limited number of columns, may ensure success in the 3rd prize tier and chances of success in the 1st and 2nd prize tiers.
Amplified Limited Systems: Amplified systems are an option not only for the variable systems, but for the limited ones as well; in this case they may ensure more than one prize in the 3rd prize tier and increased chances of success in the 1st and 2nd prize tiers.
Conditional Variable Systems: Systems that may ensure success in the 2nd prize tier provided certain conditions (set for the system's development) are satisfied. There is a variety of such conditions.
In the standardized systems of this form, the conditions are explicitly mentioned in each system's table and only refer to the 1st, 2nd and 3rd marker selected.
Conditional variable systems that are standardized, depending on the conditions they are developed, are divided into:
1. Derivatives Variable Systems: systems' conditions refer to the 1st, 2nd and 3rd markers selected and to derivatives with a specific number or a range of requested markers.
2. Basic Column Variable Systems: systems' conditions refer only to the 1st markers selected and are divided into a specific number or a range of errors covered.
Table of columns / Successes




Column Value
A single column (selections for 14 or 7 matches – depending on game type) costs 0,25€.
Where can I play
Exclusively in OPAP stores.
End of participation
Slip submission ends 30 minutes before the scheduled kick-off of the first football match of the competition.
Competitions
PROPO competitions are held 3 times a week: every Wednesday, Saturday and Sunday.
The winning column and sorting results can be found on the Competitions & Results section.
Standard Systems
Tables of variable standard systems







Prize Tiers
| PROPO 14 | ||
|---|---|---|
| Prize Tiers | Correct Predictions | Winnings per prize tier |
| I | 14 | (*) |
| II | 13 | (*) |
| III | 12 | (*) |
| PROPO 7 | ||
| I | 7 | (*) |
| II | 6 | (*) |
*The winnings per prize tier are pari-mutuel (i.e. they depend on the number of columns gathered).
Cost Calculator
Legal Framework
Learn more about the rules of organization, operation and conduct of the PROPO game and read in detail the rules that govern your participation in our games.